Классификация рукописных букв

Нейросети и машинное обучение
Классификация рукописных букв

Создана система, которая распознаёт рукописные буквы английского алфавита и способна уверенно работать с любыми стилями написания. Алгоритм обучен на большом наборе изображений и умеет адаптироваться к разным почеркам, включая неровные, с разной толщиной линий и шумами.

✨ Что умеет проект:
💡 Определяет все 26 букв латинского алфавита (A–Z)
🖊️ Уверенно распознаёт буквы даже при сложных и нестандартных почерках
📄 Подходит для образовательных сервисов, автоматической проверки тетрадей и интерактивных упражнений
📦 Может быть интегрирован в системы распознавания символов, онлайн-сервисы и мобильные приложения
🎮 Подходит для игр и интерактивных приложений с распознаванием рукописного ввода

📊 Практическая ценность:
🔹 Помогает ускорить проверку и обработку рукописных данных
🔹 Снижает вероятность ошибок при ручной проверке и вводе символов
🔹 Легко масштабируется и может использоваться на вебе, в десктопных и мобильных решениях

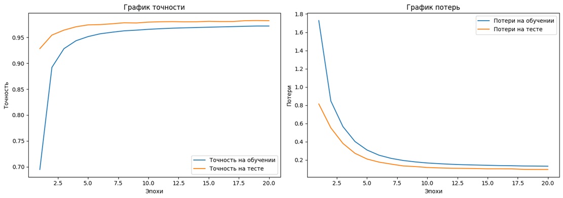
📈 Результат:
✅ Точность распознавания на тестовой выборке: 98.27%
✅ Высокая надёжность при работе с различными почерками
✅ Минимум ошибок при определении похожих букв (например, «O» и «Q»)

Дополнительные изображения:

Изображение 1 Изображение 2 Изображение 3 Изображение 4 Изображение 5